인공지능
[모두의 딥러닝] lec 04. multi-variable linear regression
Linear Regression에 필요한 3가지
1) Hypothesis

- W: Weight
- b: bias
- 이 두가지를 학습한다.
2) Cost(Loss) function

3) Gradient descent algorithm

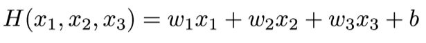
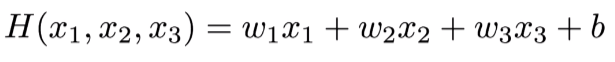
입력이 여러 개일때 Hypothesis

입력이 여러 개일때 Cost function

- Cost func의 핵심: 예측한 값과 실제 값의 차이를 구하는 것
입력 값이 n개로 무수히 많아졌을 때? : Matrix 이용!
Hypothesis using Matrix

- 인스턴스의 숫자대로 matrix를 줄 수 있음. W는 변함없음.

장점) 인스턴스 수가 많을 때 각각의 가설을 계산할 필요 없이, 한꺼번에 계산 가능

X [ #instance, #variable] x W [#variable, #H(X)instance] = [#H(X)instance, #Yvariable]

총정리
- Theory

- TensorFlow (실제 적용)

X를 앞에 둘 경우 matrix로 빠르게 계산 가능
==> 두가지가 거의 동일하다.
'인공지능' 카테고리의 다른 글
| [모두의 딥러닝] lab 04-2. Loading Data from File (0) | 2019.04.06 |
|---|---|
| [모두의 딥러닝] lab 04-1. multi-variable linear regression을 TensorFlow에서 구현하기 (0) | 2019.04.05 |
| [모두의 딥러닝] lab 03. Minimizing Cost (0) | 2019.04.03 |
| [모두의 딥러닝] lec 03. Linear Regression의 cost 최소화 알고리즘의 원리 설명 (0) | 2019.04.03 |
| [모두의 딥러닝] lab 02. Linear Regression (0) | 2019.04.03 |
댓글