인공지능
[모두의 딥러닝] lab 04-1. multi-variable linear regression을 TensorFlow에서 구현하기
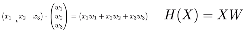
Hypothesis using matrix
- x가 더 많을수록 Y를 예측하는 힘이 더 세짐.
- bias는 간략화를 위해 생략

--> 복잡. 만약 x가 100개가 된다면 코드 복잡해질 것.
이제 이런 방법은 사용하지 않는다.

Matrix
--> 이런 방법을 대체할 것

- x의 개수가 얼마든 상관없이 나열한 후 개수에 맞게 Weight와 곱하면 한꺼번에 계산 가능

- ex) [73., 80., 75.] 한 묶음이 하나의 element, instance, x_data
- shape의 값 주의
: x1, x2, x3 세 개가 들어갔기 때문에 X의 shape은 3
- x_data를 대략 n이라고 가질 것이다 (None) = shape[None, 3]
- 각 element가 가지는 값은 3개다 = shape[None, 3]
- y_data는 값이 하나로 예측될 것 = shape[None, 1]
- x_data처럼 결과도 n개로 늘어날 것. = shape[None, 1]

- placeholder 부분이 굉장히 간단하게 정리가 됨!
==> Matrix를 사용하면 variable의 개수가 몇 개이든지 상관 없이 원하는 개수만큼 쉽게 표현하여 구현 가능하다.
'인공지능' 카테고리의 다른 글
| [모두의 딥러닝] Logistic Classification의 가설 함수 정의 (0) | 2019.04.07 |
|---|---|
| [모두의 딥러닝] lab 04-2. Loading Data from File (0) | 2019.04.06 |
| [모두의 딥러닝] lec 04. multi-variable linear regression (0) | 2019.04.04 |
| [모두의 딥러닝] lab 03. Minimizing Cost (0) | 2019.04.03 |
| [모두의 딥러닝] lec 03. Linear Regression의 cost 최소화 알고리즘의 원리 설명 (0) | 2019.04.03 |
댓글