[모두의 딥러닝] lab 05. TensorFlow로 Logistic Classification 구현
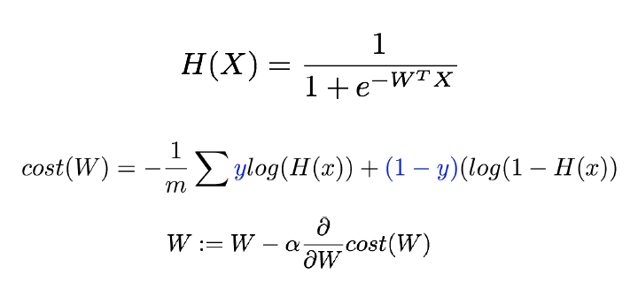
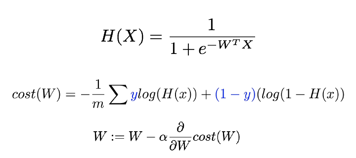
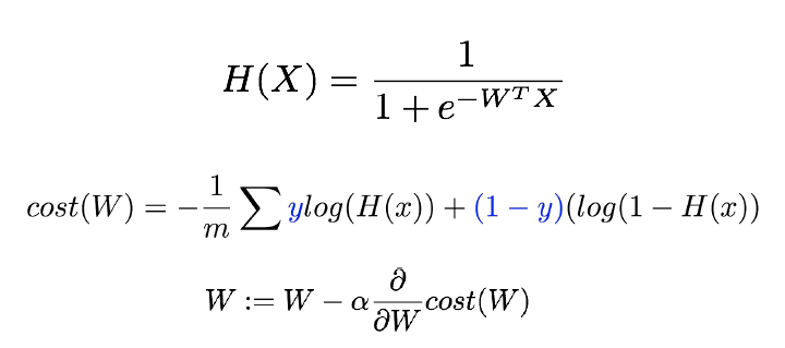
Logistic Rregression 이론 remind

Training Data

x_data의 값은 multi-variable data. [x1, x2]
y_data의 값은 binary 값으로 주어짐. (0 or 1)
** placeholder를 만들 때는 항상 shape 값에 주의!

matrix 곱하기를 할 때는 weight의 shape에 신경 써야 한다.
두 개의 x feature이 들어오고, 나가는 값은 한 개다. --> variable 값으로 [2, 1] 설정
bias는 항상 나가는 개수의 값과 같다 --> variable [1] 설정

직접 수학함수를 사용하고 싶다면 주석에 있는 형식으로 구현.
hypothesis를 이용하여 cost함수 정의


train이 알아서 우리의 weight을 조절해주게 된다.
예측 값을 가지고 성공/실패를 binary 값으로 표현해야 할 것이다.
(보통 pass/fail의 기준이 되는 값은 0.5이다)

예측 값들의 정확도를 계산해보기 위해서는 predicted(예측 값)과 y의 값을 비교하여 T, F로 산출 --> casting
Train the model (이전의 모습과 비슷)
x_data, y_data의 값을 던져주며 train이라는 노드를 실행시킨다.
학습이 끝나면 학습된 모델로 주어진 x_data와 y_data를 가지고 예측 값과 실제 값의 정확도를 출력해 본다.

실제 data에 적용: Classifying diabetes
ML을 이용하여 의학적인 예측도 한다.
당뇨병을 예측하는 data.

--> 이 부분은 우리가 필요한 만큼 파일을 load하면 된다.
주의) 총 8개의 x_data가 있으니 X의 placeholder shape을 8로 설정해야 한다.
+ Weight의 variable 값도 [8,1]로 설정해야 한다. (이유: 들어오는 값이 8이기 때문)

(이후의 소스코드는 이전과 다를 바 없음)
** Exercise로 공부해보기 (나중에 하자,,)
'인공지능' 카테고리의 다른 글
| [모두의 딥러닝] lec 06-2. Softmax classifier의 cost 함수 (0) | 2019.04.08 |
|---|---|
| [모두의 딥러닝] lec 06-1. Softmax Regression: 기본 개념 소개 (0) | 2019.04.08 |
| [모두의 딥러닝] lec 05-2. Logistic Regression의 cost 함수 설명 (0) | 2019.04.08 |
| [모두의 딥러닝] Logistic Classification의 가설 함수 정의 (0) | 2019.04.07 |
| [모두의 딥러닝] lab 04-2. Loading Data from File (0) | 2019.04.06 |
댓글